
Chromium Oxidation States And Main Forms In Aquatic Environments Download Scientific Diagram

Pdf Xanes Determination Of Chromium Oxidation States In Glasses Comparison With Optical Absorption Spectroscopy Semantic Scholar

How To Find Oxidation Numbers For Chromium Cr Youtube

Chem 101 Oxidation Reduction Reactions

Oxidation Numbers

Oneclass The Oxidation Number Of Chromium In Sodium Chromite H2cro4 Is A 1 2 1 7 6

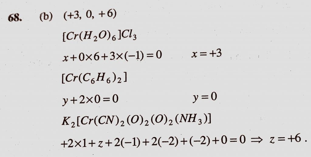
The Oxidation States Of Cr In Cr H2o 6 Cl3 Cr C6h6 2 And K2 Cr Cn 2 O 2 O2 Nh3 Respectively Are Sahay Lms

Chromium

Chromium Cobalt Vanadium And Manganese Chemistry Secondary Science 4 All

Oxidationreduction Dr Ron Rusay Balancing Oxidationreduction Reactions Oxidationreduction

The Oxidation Number Of Chromium In Potassium Dichromate Is